OrganiZATOR. Guía de uso

[Home]  [Inicio]  [Índice]


Base de Datos

§1  Introducción a la dBase

La Base de Datos de Zator (dBase) es quizás la parte más significativa de la aplicación.  dBase conforma un entramado o soporte, que le permitirá organizar y manejar su información de una forma eficiente y flexible.  Del mismo modo que las otras zonas de Zator, Inicial y Planificador, la dBase puede estar conectada a cualquier área de trabajo, lo que significa que puede utilizar datos situados en distintas localizaciones dentro del sistema o de la intranet en su caso.

Es poco probable que haya conocido una base de datos de características similares, por lo que antes de entrar en otros detalles, debemos introducir algunos conceptos básicos, imprescindibles para entender su filosofía de funcionamiento.

En principio, la dBase de Zator utiliza dos tipos de elementos muy sencillos; a los primeros, los denominamos átomos o ítems.  El significado y contenido será el que Usted quiera darles y existen los que Usted decida crear. La mejor forma de entenderlos es como soporte de ideas, y en este sentido podrían parecerse a las palabras del lenguaje común, aunque por supuesto pueden referirse a ideas todo lo complejas que se desee, que corresponderían con las frases del lenguaje natural.  En realidad todos estos átomos están en un único espacio, y en una primera aproximación podrían visualizarse como un número indefinido de cartulinas en un archivador, en las que pueden realizarse anotaciones [1].  No obstante, por razón de comodidad en su manejo, la interfaz de usuario las presenta en forma de árboles lógicos entre los que existe una relación de inclusión; de un tronco pueden salir varias ramas, que a su vez contienen otras, que a su vez...  Es un esquema que en principio podría ser de cualquier nivel de profundidad, pero que por razones prácticas se ha limitado a 20 niveles.  Estos árboles son creados por el usuario de acuerdo con sus criterios, pero la estructura es muy dinámica, de forma que. Por ejemplo, una rama y todo lo que pende de ella puede ser movida para constituir otro árbol en sí misma, o "injertada" en cualquier posición de un árbol distinto.


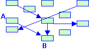
El otro concepto es el de enlace (link) o relación. Los enlaces pueden visualizarse como líneas que unen cualquier par de átomos (las cartulinas mencionadas). Estas líneas representan relaciones; señalan por tanto que existe una cierta relación entre el par de átomos enlazados por ellas. Su número es ilimitado en el sentido de que pueden crearse los que sean necesarios, y también es ilimitado el número de relaciones que una cartulina pueda tener con otras.  Los enlaces relacionan dos átomos de forma vectorial (tienen dirección y sentido).  Es decir, la relación A > B es distinta de la relación A < B.  En el primer caso decimos que el concepto A está enlazado con B (A es el origen del enlace y B es el destino) y que B está enlazado desde A.  Es la idea reflejada en la figura 1 en la que se muestran varios átomos y enlaces.

Figura 1

Figura 2

Además de dirección y sentido, los enlaces pueden tener una propiedad o calificador. Es la idea mostrada en la figura 2; el calificador podríamos visualizarlo como una etiqueta añadida a la flecha, aunque debemos resaltar que en este "universo" no existen otros elementos que átomos y enlaces, de forma que el identificador es necesariamente cualquier átomo del conjunto.

Siguiendo con nuestro peculiar vocabulario decimos que la relación R, definida entre A y B está calificada por el átomo C; también que el enlace R es de tipo C.  Como sugiere su nombre, la idea del calificador es añadir cierta información sobre la naturaleza de la relación existente entre A y B, aunque pueden existir enlaces anónimos (no calificados). En cuyo caso, quedaría indefinida la naturaleza concreta de la relación.


Hemos indicado que para comodidad del usuario, la interfaz puede presentar los átomos en forma de una estructura jerárquica de tipo árbol; observe que en este sentido, la posición de cada átomo implica un cierto tipo del relación con la rama de la que cuelga y con las que a su vez cuelgan de ella; una relación definida implícitamente por su posición.  Aunque el sentido exacto de esta relación depende por completo del criterio del usuario que crea el árbol, lo razonable es pensar que es del tipo "incluido en".  Por ejemplo, si creo el concepto Matemáticas y lo cuelgo como una hoja o rama de otro anterior al que he denominado Ciencias, sería razonable suponer que considero que las matemáticas están relacionadas de alguna manera con las ciencias.  A su vez, podría crear otros átomos llamados Geometría; Álgebra; Cálculo; Topología; Estadística, etc. y colocarlos como hojas del concepto matemáticas. Pero recuerde que, si reordeno el árbol y paso las matemáticas a depender de otro concepto. Por ejemplo, Asignaturas, la relación anterior (implícita) habrá desaparecido, mientras que las que hubiese declarado explícitamente con otros átomos de mi universo (más adelante explicaremos cómo hacerlo) se mantendrían a pesar del traslado.


Como sinopsis de la descripción de la interfaz de usuario, a la que dedicamos el resto de esta sección, adelantaremos que permite crear, borrar y modificar átomos en cualquier posición, incluyendo un espacio inicial, al que denominamos espacio raíz, que aquí representa el suelo del bosque, es decir, donde están los troncos de los árboles.  Podemos crear nuevos árboles (átomos que no dependen de otros) o colgarlos como ramas de cualquier átomo existente.  Como indicábamos antes, también es posible cambiar de sitio hojas o ramas.  La interfaz permite igualmente crear y borrar enlaces calificados o anónimos entre cualquier par de átomos de este universo.

Además de mostrar la posición relativa de cada átomo dentro del bosque, tronco y ramas a la que pertenece, la interfaz permite simultáneamente una visión de los enlaces de cada átomo, con indicación en su caso de con qué otros átomos está enlazado y cómo (si son enlaces calificados o anónimos); desde que átomos está enlazado y cómo; y en qué enlaces actúa como calificador (qué enlaces califica).

Figura 3

En la figura 3 se muestran las partes principales de la ventana de dBase.  Como en todos los casos, la barra de título señala la dBase conectada en ese momento (el área local del operador en el ejemplo de la figura).

  Las ventanas superiores (ventanas principales 1) muestran el árbol de átomos.  La ventana izquierda es el espacio raíz; los átomos contenidos en él no dependen de ningún otro.  A partir de aquí las ventanas a la derecha permiten recorrer e inspeccionar el contenido de las distintas ramas.  Los ítems resaltados señalan el camino recorrido, el tronco y ramas que hay que seguir para llegar al ítem que se inspecciona actualmente -ítem actual- (el que tiene foco en la penúltima ventana de la derecha).

  Debajo de cada ventana principal existe una ventana auxiliar con información sobre la ventana superior; entre otros datos señala el nivel de anidamiento que le corresponde (Niv 0 para el espacio raíz).

Después de la ventana del ítem actual, se muestra siempre una última con los átomos que dependen de él (caso de existir).  En el ejemplo, el ítem actual es Agapito Master (un nombre imaginario por supuesto), que en este universo depende de Pacientes particulares, que depende a su vez de Profesional, que no depende ya de ningún otro (es un átomo raíz).  A su vez, el ítem actual no tiene ningún otro que dependa de él (la ventana de siguiente nivel señala <Vacío>).

La interfaz de usuario permite desplazarse fácilmente por este "bosque" virtual mediante las teclas de movimiento de cursor o mediante ratón, pero como en la zona superior solo existe espacio para un máximo de 5 ventanas abiertas (4 en la figura) y el nivel máximo de anidamiento es 20, la zona superior realiza automáticamente un desplazamiento horizontal (scroll) con el fin de mostrar siempre las 5 últimas posiciones de la rama inspeccionada.  En caso necesario, este desplazamiento puede controlarse manualmente en ambas direcciones con la barra inferior de desplazamiento, o con los botones  y , que realizan respectivamente un desplazamiento a los extremos izquierdo (espacio raíz) y derecho (extremo de la rama actual).

Observe que el título de cada átomo (un texto alfanumérico de 360 caracteres máximo) puede ser mayor que el espacio horizontal visible en las ventanas principales, pero la ventana inferior (color púrpura 3) muestra en todo momento texto completo del ítem actual.  Para mayor comodidad, las ventanas presentan siempre sus elementos ordenados alfabéticamente con independencia de cual haya sido el proceso de creación de sus elementos.

Nota: pulsando con el botón derecho del ratón sobre la ventana inferior (3), es posible copiar el título del átomo al portapapeles.


  Las ventanas inferiores (ventanas de enlaces 2) muestran en todo momento los enlaces del ítem actual.  En el ejemplo de la figura, el átomo actual está enlazado con un átomo denominado Minero (cuya situación en el esquema general no es visible en este momento), es un enlace calificado con la etiqueta Retirado, según muestra la ventana a su derecha.  A sus vez, está enlazado de forma anónima, desde el átomo Casado.  La última ventana de enlaces (derecha) indica que el ítem actual no está siendo utilizado como calificador de ningún enlace.

Por lo general, los átomos mostrados en las ventanas de enlaces no serán visibles en la visión actual de las ventanas superiores (no se ven en su contexto), pero es muy fácil averiguar la posición de cualquiera de ellos en el esquema general.  Haciendo clic derecho con el ratón sobre cualquier ítem de las ventanas inferiores (2), se abre un menú contextual en el que se puede seleccionar la opción "Saltar a este ítem".  De inmediato la configuración de las ventanas superiores se modificará en el sentido de mostrar el camino completo al enlace cliqueado, que habrá pasado a ser el ítem actual.

Nota: Zator trata de ajustarse automáticamente a fin de obtener la mejor visión posible en su pantalla, de forma que dependiendo de la resolución de esta, el número de ventanas visibles en cada momento, puede variar respecto de las que se muestran en las figuras. Por ejemplo, la zona inferior, puede mostrar una sexta ventana con el destino de aquellos enlaces en los que el ítem actual actúa como calificador.

  Inicio.


[1]  Siguiendo con este símil, cambiar de área de trabajo equivaldría a cambiar la colección de cartulinas por las de un archivador distinto.