OrganiZATOR User's Guide

[Home]  [Init]  [Index]


Database

§1  Introduction to dBase

The Zator's database (dBase) is perhaps the most significant part of the application. dBase constitutes a framework that allows you to organize and manage your information in an efficient and flexible manner. In the same way that other Zator's zones (Main; Scheduler and Messaging), dBase can be connected to any work area, which means that you can use data from different locations within the system or the intranet (LAN).

It is unlikely that you met a database of similar features, so before we go into further details, we need to introduce some essential concepts to understand its philosophy of operation.

In principle the Zator's dBase uses two types of very simple elements; we call to the first of them atoms or items. Its meaning and content will be what you want, and there are those you decide to create. The best way to understand them is as support of ideas, and in this sense might resemble the words of the common language, though of course may relate to complex ideas anything you want, which correspond to natural language phrases. Actually all these atoms are in a single space, and as a first approximation could be viewed as an indefinite number of cards in an archive, where can be made annotations [1]. However, because of convenience in it handling, the user interface offers a classified index in the guise of logic trees where exist an inclusive relationship between them.  Of a trunk can leave several branches, which in turn contain other, which in turn ... It is a scheme that in principle could be of any level of depth, but for practical reasons has been limited to 20 levels. Trees are created by the user according to their criteria, but the structure is very dynamic, so. For example, a branch and all that hangs from it can be moved to form another tree itself, or "grafted" in any position of other tree.

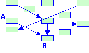
The other concept is link or relationship. The links can be displayed as lines joining any pair of atoms (the referred cards). These lines represent relationships; therefore indicate that there is some relationship between the pair of atoms related by them. Their number is unlimited in the sense that you can create the necessary, and it is also unlimited the number of relationships that a card may have with others. Links relate two atoms in a vector form (has direction and sense). So, the relationship A > B is different from the relationship A < B. In the first case we say that the concept A is linked to B (A is the source of the liaison and B is the target) and that B is linked from A. Is the idea reflected in Figure 1 who shown several atoms and links.

Figure 1

Figure 2

Besides direction, the links can have a property or qualifier. The idea is shown in Figure 2; the qualifier could be displayed as a tag attached to the arrow, but we must emphasize that in this "universe" there are no other elements that atoms and links, so that the tag is necessarily any atom of the group.

Continuing with our peculiar vocabulary we say that the relationship R defined between A and B is qualified by atom C, as well as the link R is of C type. As the name suggests, the idea of the qualifier is to add some information on the nature of the relationship between A and B, although there may be anonymous (unqualified) links. In such case, the precise nature of the relationship would remain undefined.


We have indicated that for the user's convenience, the interface can present atoms in the form of hierarchical tree structure. Note that in this regard, the position of each atom implies a certain kind of relationship with the branch where if is hanging and with others which in turn hang of it, a relationship implicitly defined by their position. While the exact meaning of this relationship depends entirely on the discretion of the user who creates the tree, it is reasonable to think that it is a "including" relationship. As an example, if you creates the concept Mathematics and hang it as a leaf or branch of another atom named Sciences, it would be reasonable to assume that you believe that mathematics are related in some way to science.  In turn, you could create other atoms called Geometry, Algebra, Calculus; topology; Statistics, and so on, and hang them as leaves of the math concept. But remember that if you rearrange the tree, and put mates dependent on another concept, I.e. Courses, the previous relationship (implicit) will have disappeared, while those who had explicitly declared with other atoms (later explain how to do it) would be maintained despite the translation.

As a synopsis of the user interface, who we devote the rest of this section, we can advance that it allows you to create, delete and modify atoms in any position; including an initial space, which we name root, which represents the ground of the forest -where the trunks of the trees grow.- We can create new trees (atoms which do not depend on others) or hang them as branches of any existing atom. As stated earlier, it is also possible to move leaves or branches. The interface can also create and delete qualified or anonymous links between any pair of atoms in this universe.

In addition to showing the relative position of each atom within the forest -trunk and branches to which belongs-, the interface allows simultaneously a vision of the links of each atom, indicating which what other atoms are linked and how (if links are qualified or anonymous); from what atoms are linked and how; and in what links it serves as qualifier (which links qualifies).

Figure 3

Figure 3 shows the main parts of the dBase window. As in all cases, the title bar indicates the dBase connected on that point (the local area in the example shown in the Figure).

  The upper windows (main windows 1) show the tree of atoms. The left window is the root space; the atoms contained therein are not dependent on any other. From here, the windows on the right let you scroll through and inspect the contents of various branches. Highlighted items indicate the path -trunk and branches- to be followed to reach the item you are currently inspecting -current item-  (the one who has focus on the penultimate window on the right).

  Under each main window there is an auxiliary window with information about its top window. Among other data, indicates the level of corresponding nesting (Lev 0 for the root space).

After the windows of the current item, there is displayed always a final window with the atoms that depend on it (if available). In the example, the current item is actually Agapito Master (an imaginary name of course), which in this universe depends on Patients private, which in turn depends on Professional, which is not dependent on any other (is a root atom). In turn, the current item has no other that depends on him (the next level window drew <Empty>).

The user interface allows easily move thru this virtual "forest" using the cursor keys or the mouse, but as in the upper area exist space for a maximum of only 5 windows (4 in the figure), and the maximum nesting level is 20, the upper area automatically scroll horizontally to show always the 5 latest positions of the branch inspected. Where necessary, this displacement can be controlled manually in both directions with the lower scroll bar, or with the buttons and , who respectively perform a shift to the extreme left (space root) and right (end of the current branch).

Note that the title of each atom (an alphanumeric text of 360 characters maximum) can be greater than the horizontal space visible on the main windows, but the bottom window (purple 3) always shows full text of the actual item. For more convenience, the windows elements are always arranged alphabetically, regardless of which has been the process of setting up its elements.

Note: right clicking in the bottom window (3), let copy the item's title on the clipboard.


  The lower windows (link windows 2) show at all times the links of the current item. In the example of the figure, the current atom is linked to an atom named Miner (whose status in the general outline is not visible at this time), it is a link qualified by the item Retired as show the window on the right. At the same time, it is also anonymously linked from the atom Married. The last window of links (right) shows that the current item is not being used as qualifier in any link.

In general, the atoms displayed in these windows are not be visible in the current view of the upstairs zone (they are not seen in its context), but it is very easy to determine the position of any of them in the overall pattern. Clicking the right mouse button on any item of the lower windows (2) opens up a contextual menu where you can select the "Jump to this item". Immediately the configuration of the upper windows will be modified in the sense of showing the complete path to the clicked link, which will become the actual item.

Note: Zator try to adjust itself automatically ot get the best possible sight on the screen, so that depending on the screen resolution, the number of visible windows may vary from those shown in Figs. For example, the lower zone may show a sixth window showing the target of those links in which the current item acts as a qualifier.

  Top.


[1]  In keeping with this metaphor, change the work area would be tantamount to change the collection of cardboards by those of a separate archive.